眾所周知亞硝胺類化合物是強致癌物,是主要要的化學致癌物之一,也是四大食品污染物之一。
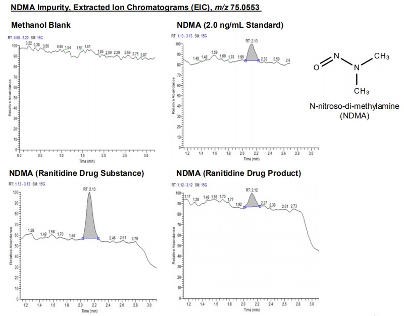
繼去年沸沸揚揚的沙坦類藥物爆出N-亞硝基二甲胺(NDMA)基因毒性雜質,近期基因毒性雜質風波再起,2019年9月13日美國FDA發表聲明在常用胃藥雷尼替丁中也發現該基因毒性雜質,并緊急發布的檢測的方法。
亞硝胺一時間在制藥行業又攪起了不小的風浪,EMA發布了一份標題為《EMA建議藥企采取步驟避免人用藥物中的亞硝胺(EMA / 511347/2019)》的文件,該文件適用于所有化學合成藥物,要求對亞硝胺的潛在污染進行風險評估。
亞硝胺類致癌物出現在藥物雜質中,對于我們普通消費者也不必過分擔憂,畢竟它也存在于我們常接觸的食品中(列如腌制食品、熏制食品),而且作為藥物也有嚴格檢測的含量控制。下面我們來了解一下,有哪些方法可以檢測亞硝胺類基因毒性雜質:
1、雷尼替丁中N-亞硝基二甲胺(NDMA)的檢測
(1)美國FDA發布方法
-
中國食品藥品檢定研究院發布方法
色譜條件
色譜柱 ACE EXCEL 3um C18-AR 4.6x100mm (貨號EXL-119-1046U)
流動相 A 0.1%甲酸水 B 0.1%甲酸乙腈
流速 0.5ml/min
柱溫 30℃
梯度條件:
|
時間(分鐘) |
A% |
B% |
|
0 |
95 |
5 |
|
1 |
95 |
5 |
|
3 |
80 |
20 |
|
7 |
0 |
100 |
|
9 |
0 |
100 |
|
9.1 |
95 |
5 |
|
14 |
95 |
5 |
2、亞硝胺類檢測方法(ACE官方)
3.NDMA與NDEA檢測(廣州菲羅門)
4、亞硝胺類GC氣相檢測方法
亞硝胺類基因毒性雜質檢測相關產品信息:
|
序號 |
貨號 |
規格 |
檢測物質 |
方法來源 |
|
1 |
ACE-119-1546 |
ACE 3U C18-AR 150X4.6MM |
雷尼替丁中NDMA |
美國FDA |
|
2 |
EXL-119-1546U |
ACE EXCEL 3U C18-AR 150X4.6MM |
雷尼替丁中NDMA |
美國FDA方法適用 |
|
3 |
EXL-119-1046U |
ACE EXCEL 3U C18-AR 100X4.6MM |
雷尼替丁中NDMA |
中檢院 |
|
4 |
EXL-1010-1503U |
ACE EXCEL 2U C18-PFP 150X3.0MM |
NDMA等14種亞硝胺 |
ACE官方 |
|
5 |
FMF-AIRP-EONU |
Comixshell AIRP 2.7u 150X4.6MM |
NDMA、NDEA |
廣州菲羅門科學儀器有限公司 |
|
6 |
FMD-AIRP-BONU |
Comixshell AIRP 2.7u 100X2.1MM |
NDMA、NDEA(MS檢測器) |
廣州菲羅門科學儀器有限公司 |
|
7 |
XWAX-032-150-30 |
FBX-WAX - 30m x 0.32mm x 1.50um |
8種亞硝胺 |
廣州菲羅門科學儀器有限公司 |
|
8 |
MWAX-025-100-30 |
FBX-WAX MS - 30m x 0.25mm x 1.00um |
纈沙坦類中NDMA |
美國FDA方法適用 |


